문제
어떤 나라에는 1번부터 N번까지의 도시와 M개의 단방향 도로가 존재한다. 모든 도로의 거리는 1이다.
이 때 특정한 도시 X로부터 출발하여 도달할 수 있는 모든 도시 중에서, 최단 거리가 정확히 K인 모든 도시들의 번호를 출력하는 프로그램을 작성하시오. 또한 출발 도시 X에서 출발 도시 X로 가는 최단 거리는 항상 0이라고 가정한다.
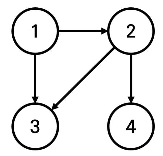
예를 들어 N=4, K=2, X=1일 때 다음과 같이 그래프가 구성되어 있다고 가정하자.

이 때 1번 도시에서 출발하여 도달할 수 있는 도시 중에서, 최단 거리가 2인 도시는 4번 도시 뿐이다. 2번과 3번 도시의 경우, 최단 거리가 1이기 때문에 출력하지 않는다.
입력
첫째 줄에 도시의 개수 N, 도로의 개수 M, 거리 정보 K, 출발 도시의 번호 X가 주어진다. (2 ≤ N ≤ 300,000, 1 ≤ M ≤ 1,000,000, 1 ≤ K ≤ 300,000, 1 ≤ X ≤ N) 둘째 줄부터 M개의 줄에 걸쳐서 두 개의 자연수 A, B가 공백을 기준으로 구분되어 주어진다. 이는 A번 도시에서 B번 도시로 이동하는 단방향 도로가 존재한다는 의미다. (1 ≤ A, B ≤ N) 단, A와 B는 서로 다른 자연수이다.
출력
X로부터 출발하여 도달할 수 있는 도시 중에서, 최단 거리가 K인 모든 도시의 번호를 한 줄에 하나씩 오름차순으로 출력한다.
이 때 도달할 수 있는 도시 중에서, 최단 거리가 K인 도시가 하나도 존재하지 않으면 -1을 출력한다.
문제 링크
https://www.acmicpc.net/problem/18352
풀이
그림부터 그래프 문제라고 알려주고, 거리를 구하라는 시점에서 BFS를 이용하면 쉽게 해결할 수 있다는 것을 알았다.
다만 다른 점이 있다면, 단방향 그래프라는 건데 그건 크게 문제되는 부분이 아니다.
처음 그래프를 세팅할 때 `G[A]`에 `B`를 넣고 `G[B]`에는 `A`를 넣지 않기만 하면, 그 외에는 고려할 부분이 크게 없기 때문이다.
예시를 보자.
아래와 같이 그래프가 있다고 해보자. ▼

왼쪽은 실제 그래프이고, 오른쪽은 시작점으로부터의 최단 거리를 체크하는 그래프이다.
1번 정점부터 시작한다고 해보자.
그러면 2번과 3번 정점으로 갈 수 있고, 출발했던 정점까지 가는 최단 거리에 1을 더해 오른쪽 정점에 기록해준다.
1번 정점에서 1번 정점으로 가는 최단 거리는 0이므로 각 1이 기록된다. ▼

다음에는 3번 정점으로 이동해보자.
갈 수 있는 곳이 없으므로 오른쪽 그래프에 업데이트 되는 내용은 없다. ▼

다음으로는 2번 정점에서 출발이다.
갈 수 있는 곳은 4번 정점 하나이고, 출발 정점인 2까지 가는 최단 거리는 1이기에 4에는 2가 기록된다. ▼

마지막에 모든 정점에 기록된 값을 확인해보고 각 케이스에서 제시한 값이 있으면 출력한다.
현재는 2가 제시된 값이므로 4번 정점이 출력된다. ▼

C++ 코드
#include <iostream>
#include <vector>
#include <queue>
using namespace std;
int N, M, K, X;
vector<int> G[300001];
int V[300001];
void input() {
ios_base::sync_with_stdio(NULL);
cin.tie(NULL);
cout.tie(NULL);
cin >> N >> M >> K >> X;
while (M--) {
int A, B;
cin >> A >> B;
G[A].push_back(B);
}
}
void BFS() {
queue<int> Q;
Q.push(X);
V[X] = 1;
while(!Q.empty()) {
int cur = Q.front();
Q.pop();
for (int i = 0; i < G[cur].size(); i++) {
if (V[G[cur][i]] == 0) {
V[G[cur][i]] = V[cur] + 1;
Q.push(G[cur][i]);
}
}
}
}
void output() {
bool isNone = true;
for (int i = 1; i <= N; i++) {
if (V[i] == K + 1) {
cout << i << endl;
isNone = false;
}
}
if (isNone) {
cout << -1 << endl;
}
}
int main() {
input();
BFS();
output();
}
'Algorithm > PS' 카테고리의 다른 글
| 백준 25195번 Yes or yes - C++ (0) | 2024.11.07 |
|---|---|
| 백준 9020번 골드바흐의 추측 - SWIFT (0) | 2024.11.07 |
| 백준 7562번 나이트의 이동 - C++, SWIFT (2) | 2024.11.06 |
| 백준 2644번 촌수계산 - C++ (0) | 2024.11.05 |
| 백준 2571번 색종이-3 - SWIFT (0) | 2024.11.04 |